Восстановление и усиление перекрытий
- Восстановление и усиление перекрытий
- Ошибки при укладке плит перекрытия. Бетонное перекрытие, как сделать: какие ошибки нельзя допускать
- Усиление монолитной плиты перекрытия. Усиление монолитных плит перекрытий
- Методы и способы усиления монолитных железобетонных перекрытий зданий. Как укрепить монолитные плиты из железобетона?
- Усиление перекрытий железобетоном сверху. Какие факторы свидетельствуют о необходимости усиления
- Усиление плит перекрытия снизу. Способы
- Усиление плиты перекрытия швеллером. Подготовка к работам по усилению перекрытий
- Усиление плиты перекрытия. Усиление многопустотных плит перекрытия
- Расчет усиления пустотной плиты перекрытия. Особенности усиления плит перекрытия
Восстановление и усиление перекрытий
Ремонт деревянных перекрытый осуществляется путем замены части наката, замены или усиления концов деревянных балок, замены отдельных балок, замены целиком конструкции перекрытия на части или по всей площади перекрытия.
После снятия пола, утеплителя, звукоизоляционных и пароизоляционных слоев и наката тщательно обследуют состояние деревянных балок перекрытия. При наличии дефектов снимают черепные бруски, балки очищают до здоровой древесины и усиливают боковыми накладками, устанавливаемыми на болтах или гвоздях. При загнивании или повреждении концов отдельных балок ремонт заключается в установке временной опоры под ремонтируемую конструкцию и удалении сгнившей опорной части балки. Восстановление таких балок с помощью накладок или металлического протеза Дайдбекова допустимо только в малоценных и ветхих зданиях (в качестве временной меры в связи с их сносом в ближайшее время).
В реконструируемых капитальных зданиях высотой более трех этажей ветхие деревянные перекрытия должны быть заменены на железобетонные.
При ремонте железобетонных перекрытий необходимо установить причины неудовлетворительного состояния конструкции (перенапряжение, воздействие агрессивной среды, увлажнение с последующим замораживанием и размораживанием).
Ремонт монолитных перекрытий включает восстановление или усиление плиты, усиление балок, замену части балки или части плиты. Часто плиты, имеющие аварийные трещины в бетоне, освобождают от бетона отбойными молотками и выправляют старую арматуру. Вводят арматуру усиления, связывая ее на опорах над балкой со старой арматурой. Обнажившиеся поверхности бетона тщательно зачищают и насекают, мусор убирают, перекрытие перед бетонированием обдувают от пыли сжатым воздухом, промывают водой и перед укладкой бетона покрывают 5—10 мм слоем цементного раствора состава 1 : 2. Если необходимо усилить существующую плиту, поверх ее укладывают арматурную сетку, которую в нескольких местах соединяют сваркой (через коротыши — обрезки арматуры) с арматурой существующей плиты, а затем бетонируют слоем 30—50 мм, соблюдая все меры по обеспечению хорошего сцепления старого и нового бетона. В случае усиления плиты снизу ее поверхность до арматуры отбивается, приваривается новая арматура к старой. Наиболее эффективно усиление больших плоскостей железобетонных конструкций методом торкретирования (перед этим старую поверхность очищают пескоструйным аппаратом, сдувают сжатым воздухом пыль и крошки и промывают водой из шланга под давлением). Толщина наносимого за один прием слоя торкрет-бетона 7—20 мм. Каждый последующий слой может наноситься только после схватывания предыдущего. При длительных перерывах в торкретировании предыдущий слой обязательно промывается. Все слои торкрет-бетона (кроме последнего) наносят и оставляют без затирки. Все работы могут вестись только при температуре воздуха не менее +5 °С.
Ошибки при укладке плит перекрытия. Бетонное перекрытие, как сделать: какие ошибки нельзя допускать
В частных домах чаще всего делают ребристые и монолитные потолки. Ошибки при возведении перекрытий, которые могут возникнуть, в основном зависят от опыта и аккуратности строительной бригады.
На этапе укладки, будь то многореберный или монолитный потолок, существует множество моментов, которые следует учитывать, чтобы конечный эффект был удовлетворительным и, прежде всего, безопасным. Чертеж и описание потолка входят в строительный проект.
Подрядчик должен строго соблюдать содержащиеся в нем положения. Стоит добавить, что в случае многореберных потолков очень полезно использовать готовую техническую документацию, опубликованную производителем системы. Там Вы найдете множество советов и рекомендаций по правильному устройству потолка на каждом этапе.
Ниже представлены наиболее частые ошибки, которые могут произойти при опалубке, армировании, кладке и обслуживании перекрытий.
Однако стоит начать с проверки самих материалов, таких как: балки, потолочные блоки, арматурная сталь.Они должны быть отмечены строительным знаком B или европейским знаком CE и иметь декларацию характеристик.В случае армирования потолка следует проверить класс и марку стали, а также диаметр стержней.
Ошибки при возведении бетонных потолочных перекрытий
Бетонное перекрытие неправильно поднято

После укладки конструкции потолок следует выровнять с помощью монтажных опор (штампов). Именно здесь появляется типичная ошибка выполнения, а именно отсутствие надлежащего подъема. Количество, тип и расстояние между опорами зависит от пролета потолка и всегда указывается производителем (ребристые потолки) или проектировщиком (монолитные потолки). Это действие необходимо для получения заявленной в проекте полной несущей способности потолка.
Рекомендации!
Правильный подъем ограничит прогиб потолка, возникающий при его эксплуатации. Также ошибкой является использование опор со слишком низкой грузоподъемностью или недостаточным расстоянием между ними. Его следствием может стать трещина или даже прогиб потолка.
Загрязнение потолка

Чтобы качественно сделать бетонное перекрытие, перед бетонированием удалите с уже подготовленного потолка весь мусор, остатки пенопласта, ваты или досок, чтобы они не смешались с бетоном.
Слишком рано убраны опоры
Частая ошибка. Помните, что строительная бригада не должна демонтировать опоры слишком рано, потому что бетон набирает полную прочность через 28 дней, и только по истечении этого времени мы можем безопасно удалить опоры.
Отсутствие правильного ухода за бетоном

Последняя ошибка при строительстве потолочных перекрытий, возникающая после того, как бетон был уложен — это неправильный уход или его полное отсутствие, что сказывается на прочности потолка. Летом бетон следует защищать от чрезмерного и слишком быстрого высыхания путем влажного ухода. Всю поверхность потолка нужно поддерживать влажной, систематически поливая ее водой. Однако зимой потолок следует защищать от низких температур, например, накрыв его пленкой или брезентом.
Ошибки при возведении ребристых перекрытий
Использование компонентов из разных систем
В случае потолков из ребристых плит, в первую очередь, нельзя смешивать системы, чтобы балки из пустотелого кирпича не поступали от разных производителей. Они могут быть несовместимы, и в случае возможных последующих проблем сложно установить реальную ответственность за качество уложенного потолочного перекрытия.
Усиление монолитной плиты перекрытия. Усиление монолитных плит перекрытий
Монолитные перекрытия в строительстве по-праву считаются самыми прочными, обладая при этом повышенной материалоемкостью, массой и, как следствие, довольно высокой ценовой категорией. В связи с этим применение монолитных конструкций не всегда оправдано с экономической точки зрения и является необходимой и оправданной мерой при наличии высоких проектных нагрузок.
Наиболее популярным способом укрепления плит перекрытия монолитной конструкции является возведение еще одной сходной по структуре плиты, которая располагается на поверхности старой. При этом в ряде случаев такой метод считается малоэффективным, создавая, помимо номинальной, дополнительную нагрузку на существующее перекрытие.
В альтернативном варианте применяются стальные поддерживающие конструкции из балок различных профилей. В их качестве применяются все виды профильного металлопроката, а именно: уголок и швеллер, тавровая и двутавровая балки. На их основе формируются опорные конструкции, предназначенные для перераспределения рабочей нагрузки. Также как в реберных плитах могут устанавливаться элементы в виде шпренгельной арматуры, а также при возможности дополнительные опоры в виде колонн. При этом необходимо правильно оценить возможность их инсталляции особенно в многоэтажных зданиях и сооружениях.
В случае необходимости усиления плит при повышении нагрузки или равномерном износе монолитных перекрытий, рационально использовать углекомпозитные материалы, в виде наносящихся слоями лентовых покрытий.
Методы и способы усиления монолитных железобетонных перекрытий зданий. Как укрепить монолитные плиты из железобетона?
Поскольку монолитное перекрытие обладает внушительным весом, его укрепление и ремонт требуют предварительных расчетов несущей способности с целью определения того, как на ней скажется дополнительная нагрузка. Целесообразнее усиление и дополнительную обвязку арматурой производить комплексно – т.е. всех конструкций каркаса.

Фото 3. Монолитные железобетонные конструкции, подготовленные под комплексное усиление
Для укрепляющего армирования используется арматурная сетка с ячейками 150х150 или 200х200 мм из прутков диаметром 14-18 мм. Заливку усиливающего слоя бетона можно производить вручную с предварительным устройством опалубки. Но лучшим способом упрочняющего бетонирования монолита является торкретирование. Данный метод предполагает использование специальной торкрет-пушки, с помощью которой бетонная смесь наносится набрызгом под очень большим давлением.
Процесс торкретирования показан в следующем
Толщина наносимого методом торкретирования бетонного слоя может достигать 50 мм. Набрызг под давлением обеспечивает высокую прочность сцепления нового бетона со старым, но поверхность получается рельефной и повторяет контуры армирующего каркаса. Поэтому основание придется дополнительно штукатурить.
Аналогичным способом можно укреплять и сборно-монолитное перекрытие. Однако здесь важно предусмотреть перераспределение нагрузок на несущие стены или опорные элементы каркаса – т.е. слой бетона не должен просто лежать на поверхности горизонтальной конструкции или висеть на ней снизу.
Усиление перекрытий железобетоном сверху. Какие факторы свидетельствуют о необходимости усиления
Необходимость укрепления плит связана в основном с временным факторам:
- в процессе длительной эксплуатации снижается способность перекрытий воспринимать нагрузки;
- при продолжительном использовании перекрытий ухудшается их техническое состояние;
- при постепенном нарушении целостности кровли и проникновении влаги внутрь помещения возникает коррозия арматуры.
Не всегда удается обнаружить прослабленные места перекрытия. Поврежденные участки, расположенные в нижней части монолитного или сборного перекрытия, бывает проблематично визуально определить. Достаточно часто они расположены под слоем декоративной штукатурки, находятся под подвесным потолком или покрыты слоем краски.

Усиление плит перекрытия может предполагать повышение сечения конструктивных элементов
При осмотре важно обращать внимание на следующие моменты:
- отслаивание бетона от верхней или нижней поверхности панелей;
- глубокие и поверхностные трещины на поверхности плит;
- отслоение цементной стяжки от железобетонной основы;
- нарушение целостности напольного покрытия;
- коррозионное разрушение арматурного каркаса;
- появление на бетонной поверхности светлых или темных пятен;
- образование на поверхности плит ржавых разводов;
- разрушение защитного слоя бетона и обнажение арматуры;
- повышенную величину прогиба элементов перекрытий;
- неравномерность поперечного сечения элементов несущих конструкций;
В зависимости от вида дефектов специалисты принимают решение выполнить усиление плиты перекрытия снизу или усилить поверхность новым арматурным каркасом и забетонировать сверху.
Усиление плит перекрытия снизу. Способы
При возведении сооружений и зданий применяются самые разные виды плит перекрытия: монолитные, ребристые и многопустотные. В зависимости от разновидности панели, условий использования и вида разрушения специалист, занимающийся координацией строительных работ, выносит решение, какой вид либо виды усиления использовать. Решение утверждается в каждом определенном эпизоде, выполняется прочностный расчет усиления конструкции, а также согласовывается и утверждается технический проект.
На текущий момент имеются такие методики усиления поврежденной панели перекрытия: укрепление плит перекрытия железными балками, углеродным волокном, а также усиление панели перекрытия снизу либо сверху наращиванием бетонного слоя и арматуры. Проанализируем способы восстановления способности выдерживать нагрузку панели перекрытия детальнее.
Укрепление деревянного перекрытия
Как правило, подобные конструкции восстанавливаются вследствие повреждения либо нарушения целостности балок. В этом случае деревянные перекрытия укрепляют либо меняют на балки большего сечения. Когда помещение меняет собственное назначение, или возрастает нагрузка на конструкцию, следовательно, требуется произвести укрепление балок, поменять их на наиболее укрупненные либо увеличить число и разместить их плотнее.
Для работы потребуются:
- гвозди;
- молоток;
- клей, чтобы оклеить балки рубероидом;
- противогнилостное вещество.
Потребуются и соответствующие материалы:
- доски либо бруски;
- рубероид для изолирования древесины.
Укрепление балок производится посредством брусьев либо досок надлежащей толщины, которые приколачиваются с двух сторон. Доски, применяемые для накладок, должны быть толщиной не меньше 38 миллиметров, а вот вычисление сечения брусков и толщины должен выполнять проектировщик.
Если совокупность сил, приложенных к конструкции, становится больше, потребуется приумножить и максимальную нагрузку балок посредством фиксации накладок на всю их длину. Если необходим ремонт испорченных балок, накладки применяются лишь в нужных местах. В основном их укрепляют на концах. Причина дефекта балок в этом месте вызвана их неверным опиранием о стенку. Появление конденсатной влаги благоприятствует тому, что дерево прогнивает и лишается прочности в районе соприкосновения со стеной.
Дабы исключить подобную проблему, концы балок необходимо обработать противогнилостным веществом и покрыть рубероидом.
Укрепление многопустотных перекрытий
Для усиления конструкции из пустотелых плит практикуются самые разные строительные методы:
- создание на поверхности вспомогательного слоя бетона, усиленного посредством стальной арматуры;
- упрочнение пустотных панелей с нижней стороны ж/б массива посредством бетонирования и стальной арматуры;
- локальная армировка дефектных районов и заливка полостей раствором бетона;
- упрочнение железобетонных плит бетоном и арматурой в районах соприкосновения с поверхностью стенок.
Для промежуточных опор это можно сделать монтажом единых вертикальных конструкций в заранее подготовленные отверстия приопорных областей соседних плит и дальнейшим бетонированием каналов со вспомогательной арматурой. В таком варианте плиты функционируют как неразрезные балки.
Два способа усиления монолитных перекрытий
Укрепление монолитной железобетонной конструкции производится несколькими методами. Прежде всего для работы потребуется инструментарий и подходящие материалы:
- перфоратор;
- отбойный молоток;
- бетоньерка;
- электросварочный аппарат;
- двутавровые балки, швеллеры, уголки;
- шпильки;
- доски под опалубку;
- бетон (паста ПВА, щебенка, песок, цемент).
Прежде чем вырезать небольшой проем в монолитных плитах, первым делом нужно инсталлировать опорные столбы. Затем необходимо вырезать проем и разделать торец посредством отбойного молотка, чтобы арматура выдавалась на 15-20 сантиметров. После этого к ней по контуру проема сваркой фиксируется швеллер, снизу выполняется устройство опалубки и промежуток между швеллером и бетоном заполняется заблаговременно подготовленным раствором бетона. Со временем, после того как бетон совсем сцепится, временные столбы и опалубку необходимо удалить.
При вырезании большого проема в монолитных панелях и при условии тесного нахождения между собой несущих стенок нижнего уровня (6-12 метров) рекомендуется применять нижнее подвесное подпорное укрепление, зафиксированное на стенках. Данное укрепление перекрытия из железобетона требуется произвести еще до разрезания проема.
Уголки либо швеллеры подходящего размера монтируют снизу впритык около железобетонного перекрытия, предельно близко к области предполагаемого проема и двумя концами заводятся в сделанные заблаговременно выемки (если стенки кирпичные). После этого ниши, промежуток между плит перекрытия и усилением из металлических конструкций зачеканиваются.
Усиление плиты перекрытия швеллером. Подготовка к работам по усилению перекрытий
Чтобы выполнить работы по усилению монолитных плит перекрытия и сборных железобетонных конструкций качественно и с обеспечением безопасности работников, необходимо провести ряд подготовительных мероприятий.
- Укрепление перекрытий.
Под ремонтируемую конструкцию подводят временные поддерживающие балки на опорах из металлических труб, брусьев или бревен сечением от 150 мм.
- Разгрузка.
Пол верхнего этажа освобождают от мебели и техники.
- Демонтаж отделки.
С перекрытия полностью демонтируют подвесные потолки, снимают напольные покрытия, удаляют стяжку, очищают от штукатурки, побелки.
- Очистка.
С поверхности плит снимают рыхлый и отслаивающийся бетон. Обнаженную арматуру очищают от коррозии, используя ручной или электроинструмент, после чего обрабатывают преобразователем ржавчины.
Если усиление железобетонных плит перекрытия будет производиться с использованием бетонного раствора, места соприкосновения нового и старого бетона очищают от пыли и обезжиривают.
Усиление плиты перекрытия. Усиление многопустотных плит перекрытия
Усиление многопустотных плит перекрытия
Требуется усилить многопустотную железобетонную плиту в связи с увеличением полезной нагрузки на перекрытие.

Рис. 1.1 Поперечное сечение многопустотной плиты
Исходные данные. Параметры плиты до усиления:
- Номинальные размеры плиты в плане 1,2х6,0 м;
- высота h=220 мм;
- бетон тяжелый, подвергнутый тепловой обработке, класса В25 (Rb=14.5 МПа) ;
- рабочая продольная арматура стержневая 4ø18А-III (Rs=365 МПа).
Полезная нагрузка на плиту v = 12,5 кПа, в том числе длительная составляющая 0,7* v = 0,7 *12,5 = 8,75 кПа. Нагрузка от массы пола g=0,8 кПа.
Решение:
Определяем расчетную нагрузку на 1 м длины плиты.
Полная расчетная нагрузка на 1 м длины при ширине плиты B=1.2 м
q = q1*B = 19.26*1.2 = 23.11 кН/м;
где, q1 — расчетная нагрузка по табл. 1.1.
Находим расчетный максимальный изгибающий момент от полной нагрузки.
Расчетный пролет плиты:

где l – номинальный пролет плиты;
bриг— ширина сечения ригеля.

Табл. 1.1 Нагрузка на 1 м2 перекрытия

Рис. 1.2 К определению несущей способности нормального сечения плиты: а – расчетная схема плиты; б – расчетное поперечное сечение
Изгибающий момент

Определяем несущую способность нормального сечения плиты.
Рабочая высота сечения плиты:
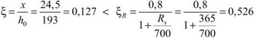
h0= h — a = 220 — 27 = 193 мм
где
Находим положение нейтральной оси из условия:

365*103*1018*10-6= 371,57 кН 3*0.9*1.16*0.031 = 469.28 кН
где, γb1 – коэффициент, учитывающий влияние длительности действия статической нагрузки (γb1 =0.9 при продолжительном действии нагрузки).
Условие выполняется, если нейтральная ось находится в полке.
Определяем высоту сжатой зоны сечения:

Относительная высота сжатой зоны сечения:

Несущая способность нормального сечения:

где, αm= 0.119
Проверяем условие:

Условие не выполняется; следовательно, требуется усиление плиты.

Расчет усиления пустотной плиты перекрытия. Особенности усиления плит перекрытия
При строительстве зданий и сооружений используются различные типы плит перекрытия: пустотные, монолитные и ребристые. В зависимости от типа плиты, условий эксплуатации и характера разрушения инженер-строитель принимает решение какой тип или типы усиления применить. Решение принимается в каждом конкретном случае, производится прочностной расчет усиления плиты перекрытия, а также оформляется и согласовывается технический проект.
На данный момент времени в арсенале конструктора есть следующие технологии усиления повреждённой плиты перекрытия: усиление плит перекрытия углеволокном, усиление плит перекрытия металлическими балками, а также усиление плиты перекрытия сверху или снизу наращиванием арматуры и слоя бетона. Рассмотрим технологии восстановления несущей способности плит перекрытия подробнее.
Усиление пустотных плит перекрытия
Технология усиления и ремонта пустотных плит перекрытия, является одной из самых простых и самых малозатратных. Суть технологии заключается в высвобождении плиты от всех механических нагрузок (оборудование, мебель и пр.). Далее производится механическое вскрытие пустот, установка арматуры и принудительное, под давлением, наполнение пустот высокопрочным бетонным раствором.

Усиление монолитных плит перекрытия
Вид усиления железобетонных изделий этого вида принимается конструктором на основании обследования конкурентного сооружения и расчета величины механических нагрузок. В подавляющем большинстве случаев принимается решение об усилении плиты перекрытия снизу, в зоне изгибающих нагрузок. Разработано и используется две технологии усиления монолитной плиты снизу.
В обоих вариантах присутствует дополнительный арматурный пояс, на который методом торкретирования «набрасывается» дополнительный бетонный материал. Разница заключается в том, что в первом варианте дополнительный арматурный пояс крепится к усиливаемой плите через специальные отгибы, приваренные к вскрытой арматуре усиливаемой плиты. А во втором случае армпояс крепится к стальной полосе, смонтированной на сквозных анкерных болтах.

В ряде случаев применяется технология усиления сверху с устройством железобетонных шпонок, верхнее наращивание в виде дополнительной монолитной армированной плиты и другие технологии. В любом случае при усилении монолитной плиты решаются задачи:
- Эффективное крепление арматурного пояса к ремонтируемой поверхности.
- Установка опалубки.
- Заливка бетонного раствора и уход за залитой конструкцией.
Усиление ребристых плит перекрытия
Ремонт ребристых плит перекрытия предусматривает использование трех технологий. Дополнительное армирование и бетонирование как в случае с монолитными плитами. Установка поддерживающих колонн и усиление несущей способности плиты с помощью шпренгельной арматуры.
Шпренгельная арматура обустраивается по диагоналям усиливаемой конструкции и образуя взаимно пересекающиеся плоскости (ребра жесткости) обеспечивают необходимое усиление и жёсткость усиливаемой плиты перекрытия
Усиление П образных плит перекрытия
Работы по увеличению несущей способности П-образных плит перекрытия могут осуществляться либо наращиванием нового массива армированного бетона, как в предыдущих случаях, так и усилением плит перекрытия швеллером. В этом варианте изгибающие нагрузки на плиту перераспределится на балки из швеллера и несущие стены. Ввиду неэстичности внешнего вида усиления, данный метод используется для ремонта и реконструкции производственных цехов и складских помещений.

Аналогичный эффект получается при усилении монолитных плит перекрытия сверху металлическими балками. Данная технология связывает аварийную плиту своеобразным «корсетом» из сварных швеллеров или двутавровых балок и не допускает ее разрушение.
Усиление железобетонных плит перекрытия углеволокном
Это самая современная технология, позволяющая существенно увеличить несущую способность пииты перекрытия любого вида и типа конструкции. Суть и технический смысл технологии заключается в наклеивании на верхние или нижние поверхности плиты углеродной ленты и ламелей.

Углеродные волокна работают как дополнительное армирование и увеличивают несущую способность конструкции. Учитывая небольшую относительную прочность углеволокна можно говорить, что с помощью данного метода невозможно кардинально увеличить несущую способность плит перекрытия.